Well, at least when it comes to hip replacement..
Robots help us put in the joint replacement.
Of more consequence is often the..
Choice of implant
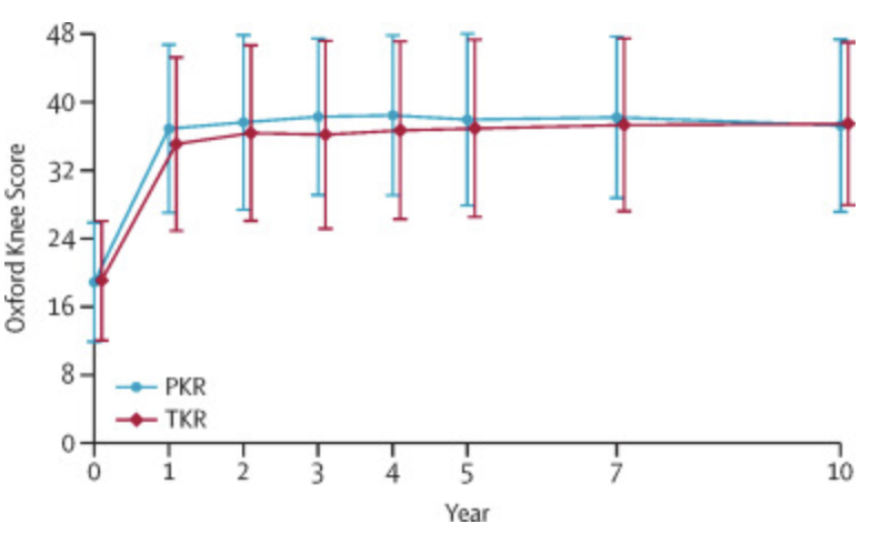
There were 2 or 3 Uni-Knee papers I liked last year..
Both pointing to how knee surgery takes small steps forward.
Both underpinned by a
LARGE leap forward 5yrs before.. from the
TOP quality TOPKAT study..
An update of that study was also published in 2025.
The commentary blog asked ‘Are patients being overtreated with total knee replacements?’
I tend to agree.. perhaps we are.
It was a useful perspective to sense check my own practice.
The surgical tip paper showed..